相關文章推薦

快速擇校

政策解讀
010-51268841
全國統一招生熱線
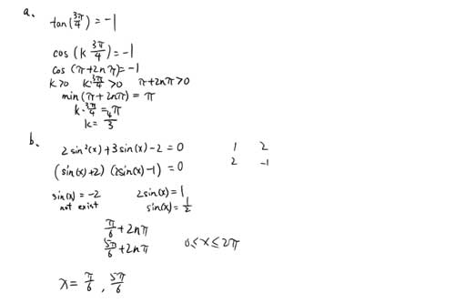
疫情來臨,為了響應國家號召,中關村外國語學校停課不停學,國際部VCE項目內部進行了一次跨年級數學競賽,內容為11年級和12年級同學都學習過的三角函數方程,題目來自2017年NHT官方考題,要求手算,題目如下:
究竟是十二年級的學長學姐經驗老道,還是十一年級的學弟學妹后浪推前浪呢?
賽題發布后,很快收到了不同年級同學的回復,經過精挑細選,評比出了1,2,3名,學生書寫的解題過程如下:
名:12年級王晨霏同學

第二名:11年級的金子彭同學
第三名:12年級胡惠森同學
同學們第二題的解答普遍比較規范,但是題在邏輯上有欠缺嚴謹之處,就此,林老師與同學們進行了一對一針對性交流:
最后,針對同學們普遍存在的問題,林老師特意錄制了一期視頻,進行了講解說明。
前30名預約家長尊享:1對1升學指導免費招生手冊免費體驗課程入學考試指導提前搶占學位機會
中關村外國語熱門關注
中關村外國語最新動態
答北京市中關村外國語學校入學條件有優化調整,主要包括戶籍要求強化非京籍社保證明、能力評估增加小學協作與中學邏輯測試、學位分...
答北京市中關村外國語學校學費標準根據不同班型差異顯著,小學普通班每年5.8萬元,高中國際班達12萬元,不同班型間最高差距近...
答北京市中關村外國語學校高中錄取分數線為410分左右,比周邊重點公立高中如中關村中學低25分、人大附中分校低22分、清華附...
答北京市中關村外國語學校教學質量口碑良好,實施小班教學(小學每班30人以內),英語課時占比40%,70%教師碩士學歷。學生...
答2026年北京市中關村外國語學校春季插班報名時間在2025年11月至2026年1月期間,需準備學生身份證明、近兩年成績單...
學費:8.50萬/年簡章詳情>
學費:9.00萬/年簡章詳情>
學費:12.80萬/年簡章詳情>
學費:9.00萬/年簡章詳情>
學費:15.80萬/年簡章詳情>
學費:12.00萬/年簡章詳情>
免費咨詢
張老師

關注微信公眾號
招生政策隨時看

關注小程序
學校簡章學費隨時查
報名咨詢電話:400-005-1568
育路教育
評論0
“無需登錄,可直接評論...”