2025年黑龍江高考二卷英語及全科試卷真題答案解析
2025年黑龍江新高考采用“3+1+2”模式,考生需參加語文、數學、外語統考,以及物理/歷史首選科目和兩門再選科目考試。其中語文、數學、外語采用新高考二卷,由教育部統一出題,首選科目及再選科目由黑龍江省自主命題。本文將為考生整理全科試卷真題及答案解析,為考生提供精準參考!
一、2025年黑龍江新高考二卷語文試卷真題及答案解析
考試時間:6月7日9:00-11:30
作文題目已更新:
閱讀下面的材料,根據要求寫作。(60分)
“昨夜閑潭夢落花”“我欲因之夢吳越”“鐵馬冰河入夢來”……夢往往以一種獨特的方式呈現我們的感受和期冀,為我們打開更浩瀚的天空。我們也常常向別人講述自己的夢,用文字記錄自己的夢,以行動實現自己的夢。
如果有一天,我們能夠將夢贈予他人……
以上材料引發了你怎樣的聯想和思考?請寫一篇文章。
要求:選準角度,確定立意,明確文體,自擬標題;不要套作,不得抄襲;不得泄露個人信息;不少于800字。









本場考試的結束時間為11:30!試卷真題和答案解析將在考試結束后盡快更新,請考生及時關注本文最新內容!
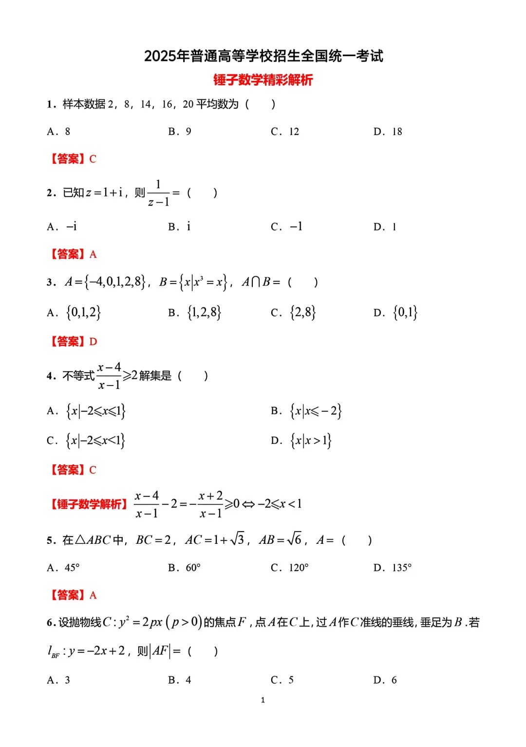
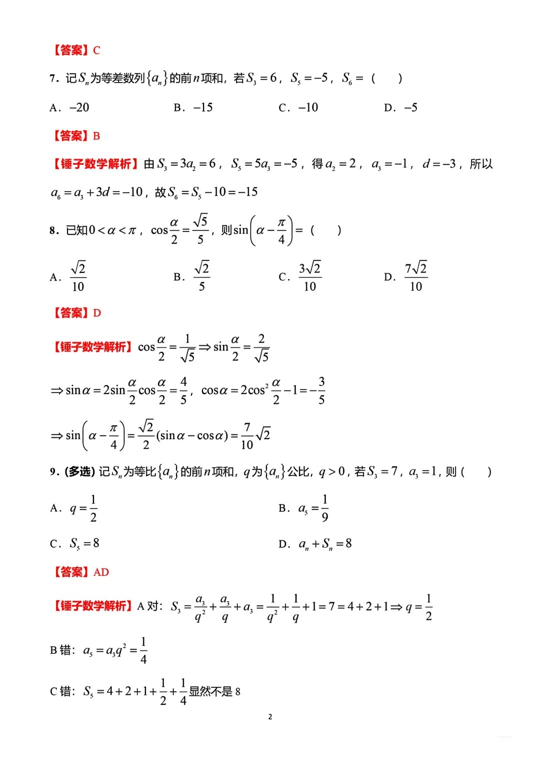
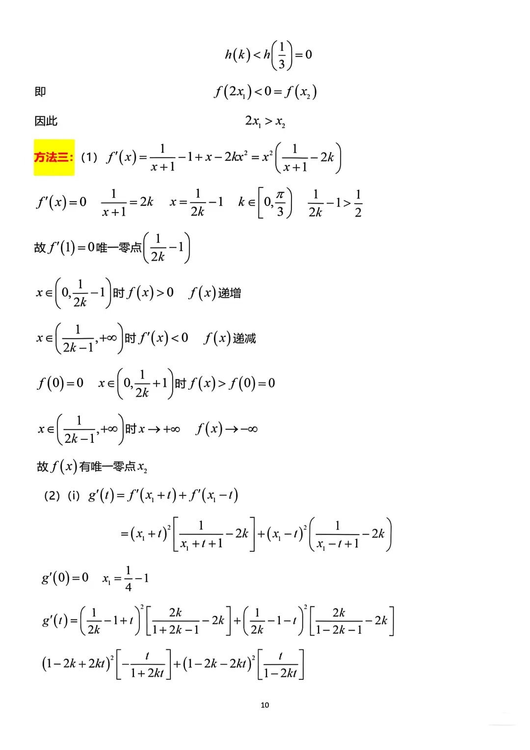
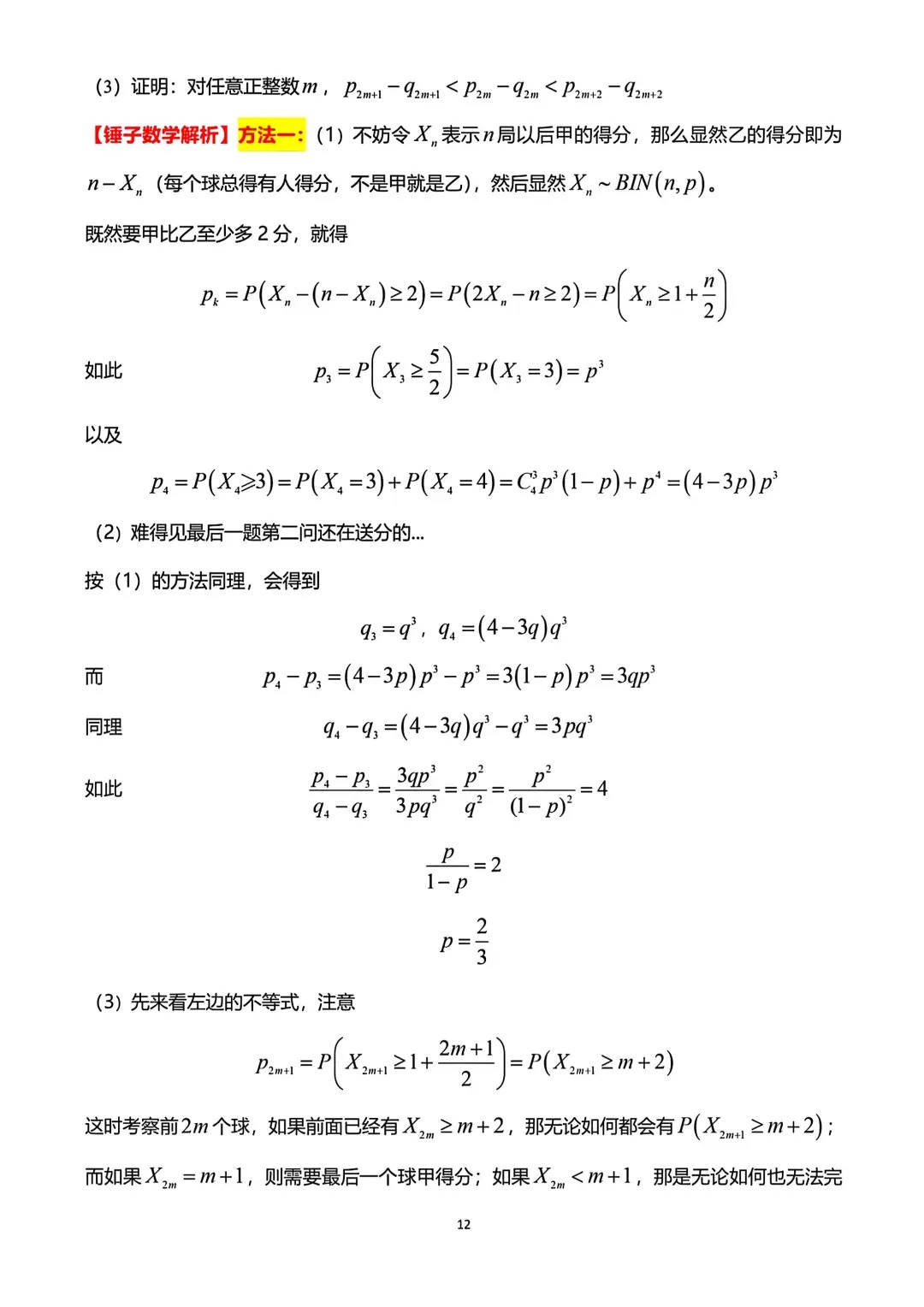
二、2025年黑龍江新高考二卷數學試卷真題及答案解析
考試時間:6月7日15:00-17:00


















本場考試的結束時間為17:00!試卷真題和答案解析將在考試結束后盡快更新,請考生及時關注本文最新內容!
三、2025年黑龍江新高考二卷外語(英語)試卷真題及答案解析
考試時間:6月8日15:00-17:00
本場考試的結束時間為 17:00!試卷真題和答案解析將在考試結束后盡快更新,請考生及時關注本文最新內容!
四、2025年黑龍江物理/歷史試卷真題及答案解析
1.物理考試時間:6月8日9:00-10:15
物理模擬試題 1:
一滑雪者從亞布力滑雪場某雪道頂端由靜止滑下,已知雪道長度 200 米,傾角 15°,動摩擦因數 0.1,求到達底端的速度。
答案解析:根據動能定理,mgh-μmgcosθ×s=0.5mv2,h=200×sin15°≈51.76 米,代入得 v≈√(2×(9.8×51.76-0.1×9.8×cos15°×200))≈22.1 米 / 秒(公式 2 分,計算 3 分)。
2.歷史考試時間:6月8日9:00-10:15
歷史模擬試題 1:
分析哈爾濱工業基地對新中國工業化的貢獻。
答案解析:奠定重工業基礎(2 分)、培養技術人才(2 分)、推動國防科技發展(2 分)。例如,哈電集團研制的白鶴灘水電站 100 萬千瓦水電機組,單機容量世界第一。
本場考試的結束時間為 10:15!試卷真題和答案解析將在考試結束后盡快更新,請考生及時關注本文最新內容!
五、 2025年黑龍江化學/地理/政治/生物試卷真題及答案解析
化學考試時間:6月9日8:30-9:45
地理考試時間:6月9日11:00-12:15
政治考試時間:6月9日14:30-15:45
生物考試時間:6月9日17:00-18:15
本場考試的結束時間為 18:15!試卷真題和答案解析將在考試結束后盡快更新,請考生及時關注本文最新內容!
六、考后行動建議
科學估分:避免直接看答案,先獨立重做試題,減少記憶偏差。參考評分細則估算分數,誤差控制在 ±15 分以內。
了解政策:了解黑龍江省“3+1+2”模式的錄取規則,如物理類與歷史類的專業組差異。參考2024年分數線:本科批歷史類410分、物理類360分,合理定位目標院校。
志愿填報準備:本科志愿填報時間預計為 6 月 27 日 9:00-6 月 30 日 18:00,專科志愿隨補錄進行,具體以官網通知為準。
2025 年黑龍江新高考二卷的全科解析將持續更新,考試結束后,建議優先完成志愿填報準備工作,同時合理規劃假期生活。
(責任編輯:劉濤)
特別說明:由于各省份高考政策等信息的不斷調整與變化,育路高考網所提供的所有考試信息僅供考生及家長參考,敬請考生及家長以權威部門公布的正式信息為準。




