2025年寧夏高考數學及各科考試真題答案更新
2025-06-30 11:54:55
來源:高考網
2025年寧夏高考已正式開啟,考試時間為6月7日至6月9日,為期三天。考試科目包括語文、數學、英語、物理、歷史、化學、地理、政治和生物。考試結束后,圓夢小燈塔將第一時間更新各科真題及答案,幫助考生及時核對試題內容,預估高考成績。
一、2025年寧夏高考語文真題及答案
考試時間:6月7日上午9:00-11:30




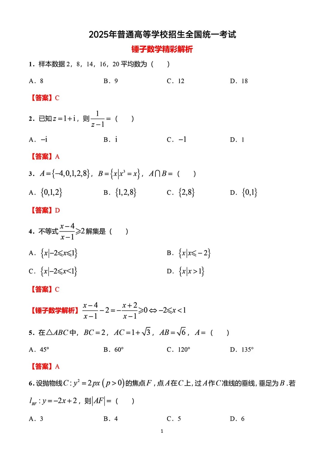
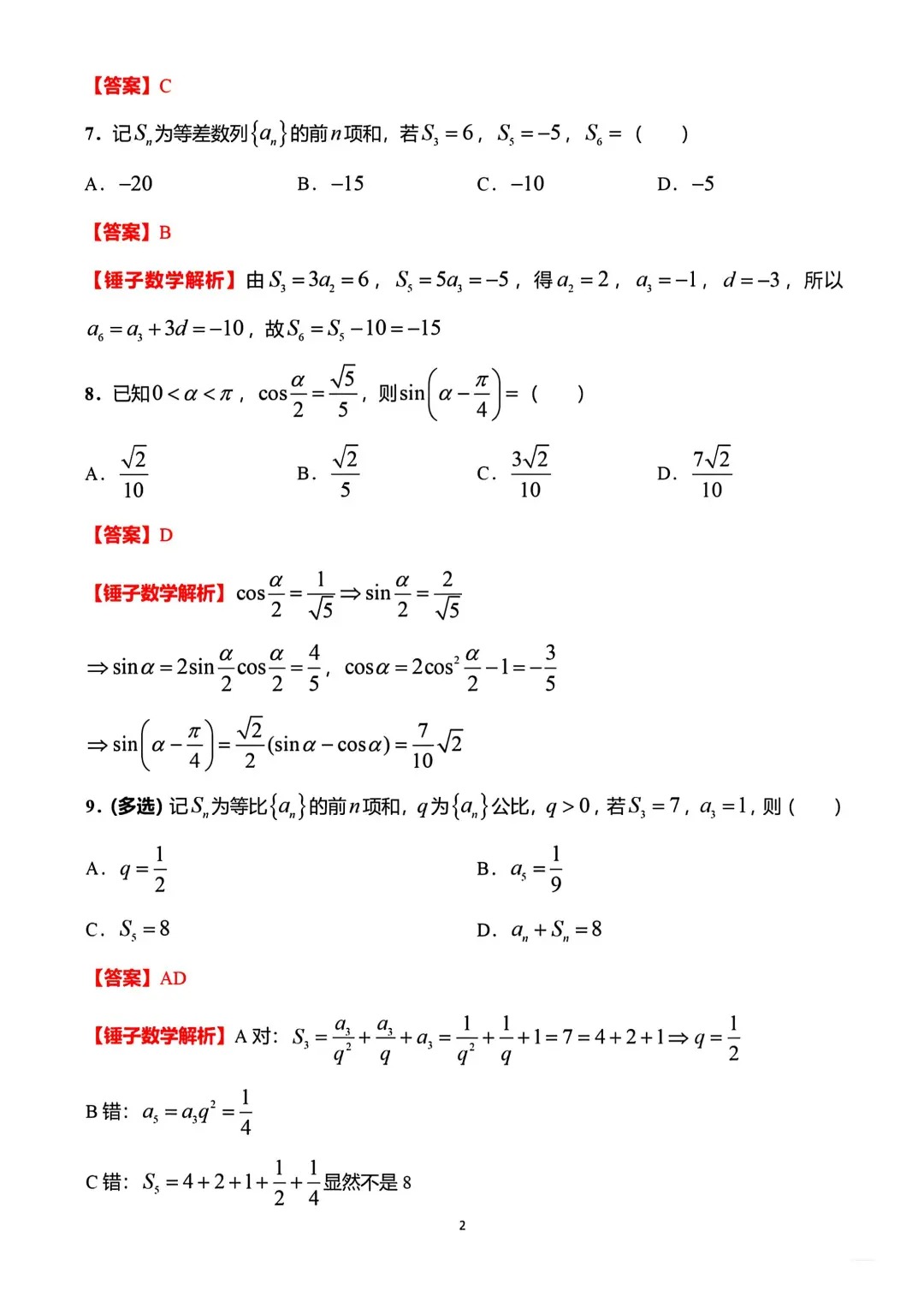
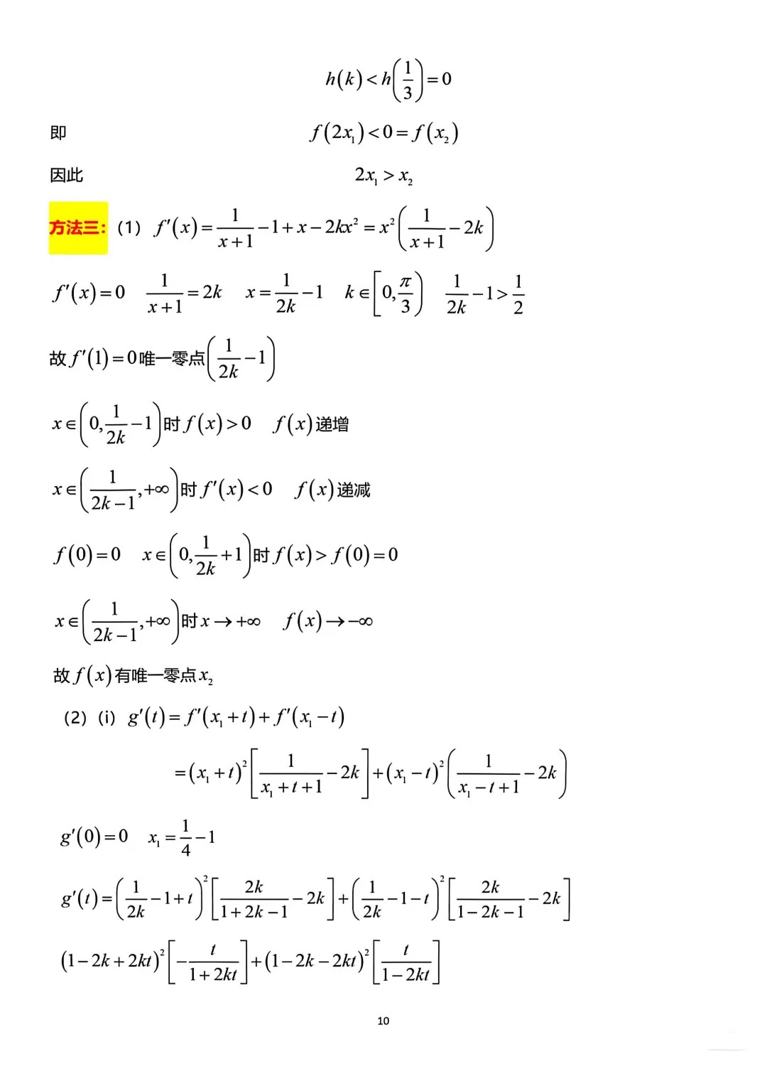
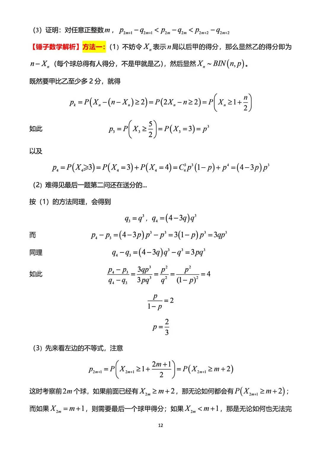
二、2025年寧夏高考數學真題及答案
考試時間:6月7日下午15:00-17:00














(責任編輯:劉濤)
特別說明:由于各省份高考政策等信息的不斷調整與變化,育路高考網所提供的所有考試信息僅供考生及家長參考,敬請考生及家長以權威部門公布的正式信息為準。
高考專業報名咨詢




